1000名传统药物治疗无效的IBS患者接受肠道催眠治疗的研究

这是一项针对肠道催眠的大样本临床研究,由V. Mille等人于2015年发表。鉴于先前的小样本研究已经显示肠道催眠疗法具有改善IBS症状并具有持久效果的潜力,作者试图通过大样本的研究来进一步验证这一疗效。

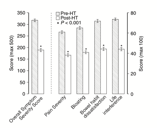
本研究纳入了满足罗马II诊断标准的1000例IBS患者,其中平均年龄为51.6岁,女性占80%。所有患者均为常规治疗无效的难治性IBS患者,他们接受了为期三个月、共12次的一对一肠道焦点催眠疗法。治疗过程中,患者虽可继续使用部分常规药物,但治疗的主要内容是通过催眠技术帮助患者实现“控制肠道”的目标。 研究采用IBS症状严重度评分(IBS SSS)作为主要疗效指标,同时辅以非肠道症状评分、生活质量评分以及医院焦虑抑郁量表(HAD)等量表进行综合评价。此外,论文还根据患者的年龄、性别、IBS类型以及催眠敏感性进行了亚组分析,以探讨这些因素对疗效的潜在影响。 结果显示,在接受催眠治疗后:

76%的患者的IBS-SSS评分显著改善(评价IBS严重程度的量表);

患者腹痛天数由治疗前的平均18天下降至9天;67%的患者腹痛评分减少30%以上;

非肠道症状和生活质量也均有显著改善,焦虑和抑郁症状的患者比例及其平均分数均有明显降低。

1000名患者在肠道催眠前后的IBS-SSS评分

总之,这篇发表于2015年的论 文由多位权威学者联合撰写,通过大规模患者数据展示了肠道焦点催眠疗法在改善难治性IBS症状、非肠道症状以及改善患者生活质量和心理健康方面的显著效果。